他是中国水利水电事业的主要开拓者和奠基人,中国科学院、中国工程院两院院士,享有“水利泰斗”美誉,他就是交通大学杰出校友张光斗。

张光斗(1912-2013),江苏常熟人
少年逐梦,交大筑根基
张光斗,1924年考入南洋大学(交通大学时名)附小,历经预科、大学十年的系统淬炼,为其未来事业奠定了坚实基础。交大附小注重国文、算术、英文与德育、体育的全面发展,为他铺就了良好的成才之路。1930年,他从预科班毕业,凭借优异成绩,获得奖学金,并免试升入大学部。从附小到大学毕业的十年间,他几乎住遍了交大的每一栋宿舍楼,聆听过凌鸿勋、孙科、黎照寰等多位校长的教诲,将母校的严谨学风与育人理念内化于心。大学二年级时,一心想当工程师的他最终选择了土木工程学院结构组。1934年,他不负众望,以四年平均学习成绩90.68分毕业。毕业前夕,他与钱学森等8人成功当选中国斐陶斐学会会员。同年他考取了清华大学水利工程专业留美公费生,开启了海外求学之路。

张光斗(前排右二)在交大预科就读时与同学合影

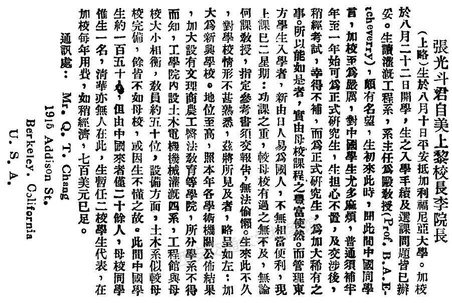
张光斗与钱学森等考取留美公费生
水利报国,功勋卓著载殊荣
1935年,张光斗赴美深造,先后就读于加州大学、哈佛大学。凭借在交通大学打下的深厚基础,稍经考试,无需补读课程,便进入加州大学攻读研究生,成为当时该校罕例。为此他在给黎照寰校长的信中感念学校的栽培之恩。1937年全面抗战爆发,已获哈佛大学博士全额奖学金的他,秉持“国家兴亡、匹夫有责”的信念,毅然放弃深造机会,决意提前归国,以所学投身于救亡图存事业。

1935年,张光斗在美国写给黎照寰校长和李院长的信:“普通须补半年至一年始可为正式研究生。交涉后,稍经考试,幸得不补,而为正式研究生,为加大稀有之事。所以能如是者,实由母校课程之丰富使然。”
回国后数十年,他将全部心血奉献给祖国水利水电建设事业,深度参与密云水库、三门峡工程、葛洲坝工程、三峡工程等一系列关乎国计民生的特大型工程规划与建设,为中国现代水利工程学科体系的建立和重大工程建设解决了无数关键技术难题;他还积极推动中国工程科技界与国际接轨。1973年,作为中国代表团团长参加国际大坝会议,为新中国争取成员国席位。1982年,他在中国科学院技术科学部年会上作《建议成立中国工程院》的报告,建言创立中国工程院,展现了一代工程巨擘的战略视野与使命担当。因其卓越贡献,他荣获美国加州大学哈兹国际奖、中国光华工程成就奖等诸多殊荣。
饮水思源,翰墨寄情传薪火
张光斗一生深怀对母校交通大学的感激之情,始终心系母校发展。1984年,他首次回到西安交通大学,主持高等工程教育研讨会,遍访校园实验室,与师长学友畅叙情谊;2005年,他致信母校深情写道:“在校十年,不仅习得科技知识,更塑造了三观与爱国主义精神,饮水思源,感念至深。”2006年母校110周年校庆,他亲笔题词:“培养工程师,建设国家”,这一寄语,既是对母校办学宗旨和育人传统的高度肯定,也寄托了对母校培育实干兴邦栋梁之材的殷切期望。


1984年6月,张光斗院士、德国汉诺佛大学校长佩斯特院士与西安交通大学副校长陈学俊院士在英国皇家学会门前合影。
从交大校园里的追梦少年,到享誉中外的工程泰斗,张光斗用一生践行了“饮水思源,爱国奋斗”的交大文化精神,其事迹与品格堪为后学楷模。